Wednesday April 2026

হটলাইন

কনটেন্টটি শেষ হাল-নাগাদ করা হয়েছে: বৃহস্পতিবার, ২৫ সেপ্টেম্বর, ২০১৪ এ ০৪:৪৭ PM

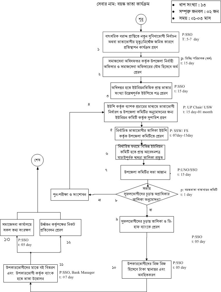
বয়স্ক ভাতা বাস্তবায়ন পদ্ধতি

কন্টেন্ট: সেবা এবং ধাপ

ফাইল ১

এক্সেসিবিলিটি

স্ক্রিন রিডার ডাউনলোড করুন